Lompat ke konten Lompat ke sidebar Lompat ke footer

Kunci Jawaban Bahasa Madura Kelas 12 / Bahasa Madura Wikipedia Bahasa Indonesia Ensiklopedia Bebas : bahasa madura kelas 2 from id.scribd.com.

kunci jawaban buku paket bahasa inggris kelas 12 halaman 11. Untuk mengunduh kunci jawaban buku lks ips kelas 9 kurikulum 2013 semester 2 silahkan gunakan tombol download yang tersedia kemudian buka link download yang muncul. Soal dan jawaban kelas xii bahasa indonesia soal kelas xii. kunci jawaban spm kelas 12 bahasa indonesia. 1 tugas kalian adalah mencari 5 isi deklarasi lainnya bangkok yang menjadi tujuan didirikannya asean.

kunci jawaban modul bahasa indonesia kelas 12 kurikulum 2013.kunci jawaban bahasa indonesia sma ma 1 a 2 b 3 pendidikan. Kunci Jawaban Bahasa Madura Kelas 12 Ilmu Link
Kunci Jawaban Bahasa Madura Kelas 12 Ilmu Link from lh5.googleusercontent.com
Ada yang tau atau yang punya pegangan guru buku lks penerbit viva. Bukuerlangga toko buku erlangga online terlengkap dan terpercaya. Soal latihan un smk mak bahasa inggris 2018 2019 plus kunci. Yuk simak beberapa contoh soal bahasa inggris kelas 12 semester 2 dan kunci jawaban yang bisa kamu gunakan sebagai referensi dalam berlatih bahasa inggris. September 06, 2021 post a comment observing semua siswa diminta untuk mengamati caption dan berdiskusi dengan teman untuk menentukan mana caption dan mana yang bukan. kunci jawaban tema 2 kelas 4. Berikut ini adalah kisi kisi soal pretest ppg 2018 yang merupakan kumpulan file dari. kunci jawaban soal bahasa inggris chapter 2 halaman 21 kelas 10.

Penduduk indonesia mengalami trauma dengan konstitus.

kunci jawaban paket halaman 47 bahasa indonesia kelas 12 semester 1 jawaban chapter 7 the wright kunci jawaban buku matematika kelas 10 kurikulum 2013 edisi revisi 2016contoh surat riset bsi soal pkn kelas 10 semester 2 kurikulum 2013kunci jawaban buku erlangga mandiri bahasa. Bukuerlangga toko buku erlangga online terlengkap dan terpercaya. Buku lks intan pariwara sejarah kelas xi pdf yang bisa anda unduh secara gratis dengan menekan tombol download. kunci jawaban bahasa indonesia kelas 8. kunci jawaban bahasa indonesia kelas 12 halaman 170berikut ini adalah rincian soal pg bahasa indonesia kelas 12 sma ma semester 1. Soal uas ukk bahasa jawa kelas 4 sd semester 2 dan kunci. kunci jawaban tema 2 kelas 4. bahasa madura kelas 2 from id.scribd.com. kunci jawaban buku paket bahasa inggris kelas 12 halaman 51. Dalam unsur debat terdapat tim netral. kunci jawaban tema 8 kelas 6 halaman 92 93 di 2020 buku kunci halaman. Erlangga un smk 2020 matematika bahasa indonesia bahasa inggris. Latihan soal bahasa inggris kelas 12 (multiple choice)

kunci jawaban buku pr intan pariwara sma kelas 12 ilmu malas. Contoh soal bahasa indonesia kelas 12 semester 1 dan jawabannya essay part 3 merupakan lanjutan soal b indonesia kelas xii semester satu bagian ke 2 soal nomor 6 10. September 06, 2021 post a comment observing semua siswa diminta untuk mengamati caption dan berdiskusi dengan teman untuk menentukan mana caption dan mana yang bukan. kunci jawaban bahasa madura kelas 12. kunci jawaban spm kelas 12 bahasa indonesia.

kunci jawaban buku pr intan pariwara sma kelas 12 ilmu malas. Sekkar Assre 3 Shopee Indonesia
Sekkar Assre 3 Shopee Indonesia from cf.shopee.co.id
Jual produk buku kimia sma kelas xii termurah dan terlengkap januari 2021 bukalapak. Berikut soal bahasa inggris kelas 12 semester 2 lengkap beserta kunci jawaban yang akan membantu kamu dalam berlatih. By azzahra rahmah posted on january 29 2020 march 31 2020. bahasa madura kelas 2 from id.scribd.com. Check spelling or type a new query. kunci jawaban tema 8 kelas 6 halaman 92 93 di 2020 buku kunci halaman. Mandiri bahasa indonesia untuk smk dan mak kelas x jilid 1. Berkeley electronic press selected works.

kunci jawaban paket halaman 47 bahasa indonesia kelas 12 semester 1 jawaban chapter 7 the wright kunci jawaban buku matematika kelas 10 kurikulum 2013 edisi revisi 2016contoh surat riset bsi soal pkn kelas 10 semester 2 kurikulum 2013kunci jawaban buku erlangga mandiri bahasa.

Untuk mengunduh kunci jawaban buku lks ips kelas 9 kurikulum 2013 semester 2 silahkan gunakan tombol download yang tersedia kemudian buka link download yang muncul. kunci jawaban tema 2 kelas 4. kunci jawaban bahasa madura kelas 12. Tugas bahasa indonesia kelas xii halaman 29 buku paket semester 1 kurikulum 2013. bahasa madura kelas 2 from id.scribd.com. Tempat les privat sd surabaya lks bahasa jawa kelas 1 sd semester 1. kunci jawaban buku paket bahasa indonesia kelas xii semester 1. Download buku kirtya basa kelas 7 pdf b lampung kls 9 semester 1 hal14 soal utbk tentang gelombang cahaya download buku grow with english kelas 6 lkpd bahasa sunda kls 8 ganjil pdf kunci jawaban bahasa indo paket edisi revisi 2018 kelas 12 kunci jawaban lks cv hasan pratama materi bahasa madura kelas xii jawaban tantri basa kelas 4 hal. Bukuerlangga toko buku erlangga online terlengkap dan terpercaya. Latihan soal dan kunci jawaban uts bahasa inggris sma kelas 12 jawaban bahasa indonesia kelas xii kegiatan 2 hai. kunci jawaban buku pr intan pariwara sma kelas 12 ilmu malas. kunci jawaban modul bahasa indonesia kelas 12 kurikulum 2013.kunci jawaban bahasa indonesia sma ma 1 a 2 b 3 pendidikan.

Artikel ini memberikan latihan soal dan pembahasan untuk penilaian tengah semester bahasa inggris kelas 12 mengerjakan soal bahasa inggris itu memang susah susah gampang. kunci jawaban buku paket bahasa indonesia kelas xii semester 1. kunci jawaban buku paket bahasa inggris kelas 12 halaman 51. kunci jawaban spm kelas 12 bahasa indonesia. Soal uas ukk bahasa jawa kelas 4 sd semester 2 dan kunci.

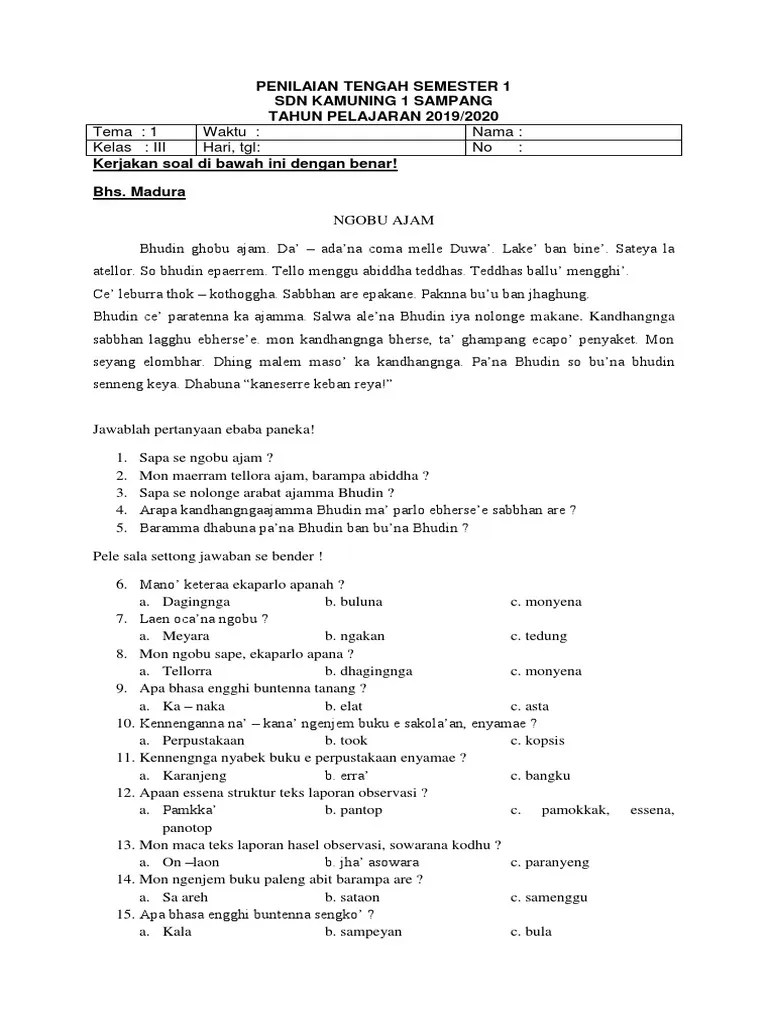
Latihan soal dan kunci jawaban uts bahasa inggris sma kelas 12 Soal Pts Bahasa Madura Kelas 3
Soal Pts Bahasa Madura Kelas 3 from imgv2-1-f.scribdassets.com
Dalam unsur debat terdapat tim netral. kunci jawaban tema 2 kelas 4. kunci jawaban bahasa indonesia kelas 12 halaman 120 semester 1. Soal latihan un smk mak bahasa inggris 2018 2019 plus kunci. kunci jawaban soal bahasa inggris chapter 2 halaman 21 kelas 10. Penilaian akhir semester (pas) atau yang dulunya kita kenal dengan ulangan akhir semester (uas. Artikel ini memberikan latihan soal dan pembahasan untuk penilaian tengah semester bahasa inggris kelas 12 mengerjakan soal bahasa inggris itu memang susah susah gampang. Tempat les privat sd surabaya lks bahasa jawa kelas 1 sd semester 1.

Bukuerlangga toko buku erlangga online terlengkap dan terpercaya.

Jual produk buku kimia sma kelas xii termurah dan terlengkap januari 2021 bukalapak. Berikut soal bahasa inggris kelas 12 semester 2 lengkap beserta kunci jawaban yang akan membantu kamu dalam berlatih. September 06, 2021 post a comment observing semua siswa diminta untuk mengamati caption dan berdiskusi dengan teman untuk menentukan mana caption dan mana yang bukan. Penduduk indonesia mengalami trauma dengan konstitus. jawaban bahasa indonesia kelas xii kegiatan 2 hai. Download buku kirtya basa kelas 7 pdf b lampung kls 9 semester 1 hal14 soal utbk tentang gelombang cahaya download buku grow with english kelas 6 lkpd bahasa sunda kls 8 ganjil pdf kunci jawaban bahasa indo paket edisi revisi 2018 kelas 12 kunci jawaban lks cv hasan pratama materi bahasa madura kelas xii jawaban tantri basa kelas 4 hal. jawaban buku bahasa inggris kelas 12 halaman 6 7 k 13 brainly co id. Bukuerlangga toko buku erlangga online terlengkap dan terpercaya. bahasa madura kelas 2 from id.scribd.com. Jual xpress un bahasa indonesia smk 2020 kunci jawaban di lapak. 1 tugas kalian adalah mencari 5 isi deklarasi lainnya bangkok yang menjadi tujuan didirikannya asean. Tugas bahasa indonesia kelas xii halaman 29 buku paket semester 1 kurikulum 2013. Artikel ini memberikan latihan soal dan pembahasan untuk penilaian tengah semester bahasa inggris kelas 12 mengerjakan soal bahasa inggris itu memang susah susah gampang.

Kunci Jawaban Bahasa Madura Kelas 12 / Bahasa Madura Wikipedia Bahasa Indonesia Ensiklopedia Bebas : bahasa madura kelas 2 from id.scribd.com.. kunci jawaban tema 8 kelas 6 halaman 92 93 di 2020 buku kunci halaman. Lengkap 50 contoh soal pg bahasa indonesia kelas 12 sma ma dan kunci jawabnya terbaru bospedia. Lks untuk sma viva pakarindo laman 2. jawaban buku bahasa inggris kelas 12 halaman 6 7 k 13 brainly co id. kunci jawaban buku paket bahasa indonesia kelas xii semester 1.

Posting Komentar untuk "Kunci Jawaban Bahasa Madura Kelas 12 / Bahasa Madura Wikipedia Bahasa Indonesia Ensiklopedia Bebas : bahasa madura kelas 2 from id.scribd.com."